Aerodynamics

Applying potential flow and thin airfoil theory

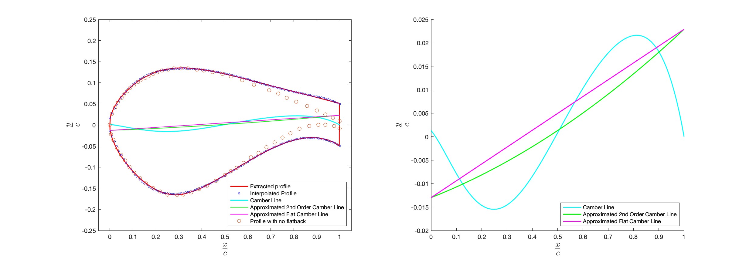
Approximating airfoil geometry to apply potential flow theory

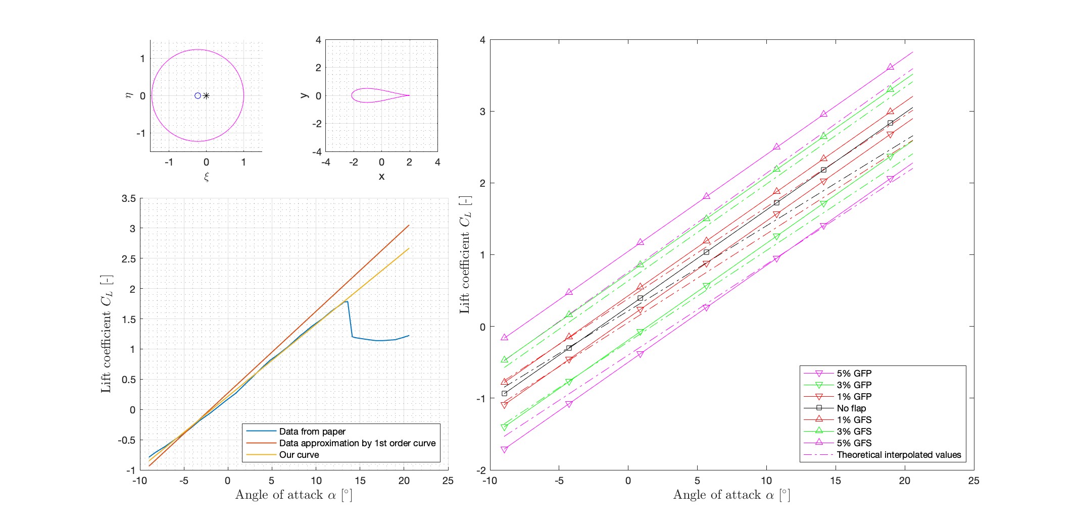
The goal of this project was to extract airfoil performance data from a journal paper and compare results in the paper with results of our own, obtained by applying theories covered in class.

Project Report here.